Meccanica – A.A. 2010/11
Esercizi – 8
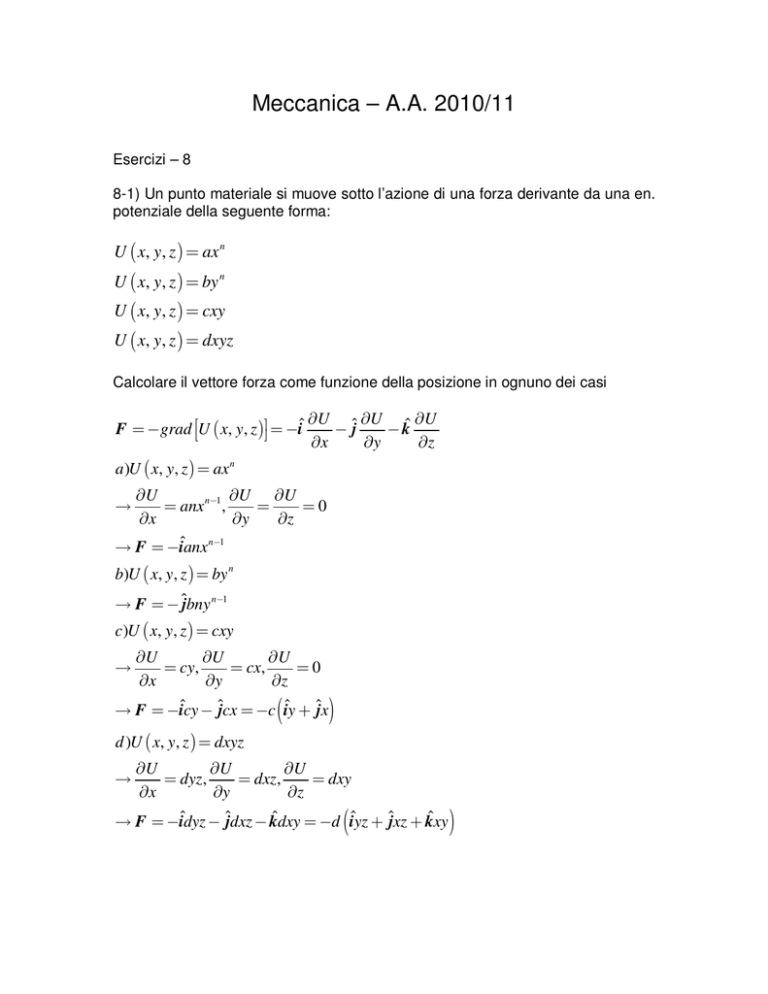
8-1) Un punto materiale si muove sotto l’azione di una forza derivante da una en.
potenziale della seguente forma:
U ( x, y, z ) = ax n
U ( x, y, z ) = by n
U ( x, y, z ) = cxy
U ( x, y, z ) = dxyz
Calcolare il vettore forza come funzione della posizione in ognuno dei casi
∂U ˆ ∂U ˆ ∂U
F = −grad U ( x, y, z ) = −iˆ
−j
−k
∂x
∂y
∂z
a )U ( x, y, z ) = ax n
∂U
∂U ∂U
= anx n−1 ,
=
=0
∂x
∂y
∂z
→ F = −iˆanx n−1
→
b)U ( x, y, z ) = by n
→ F = − ˆjbny n−1
c)U ( x, y, z ) = cxy
→
∂U
∂U
∂U
= cy,
= cx,
=0
∂x
∂y
∂z
(
→ F = −iˆcy − ˆjcx = −c iˆy + ˆjx
)
d )U ( x, y, z ) = dxyz
→
∂U
∂U
∂U
= dyz,
= dxz,
= dxy
∂x
∂y
∂z
(
→ F = −iˆdyz − ˆjdxz − kˆdxy = −d iˆyz + ˆjxz + kˆxy
)
8-2) Un punto materiale si muove lungo l’asse x sotto l’azione di una forza
derivante da una en. potenziale della forma U ( x ) = 3x 2 − x3 . Fare un grafico di U
e discutere i tipi di moto possibili per diversi valori dell’en. meccanica totale E.
U ( x) = 3 x 2 − x 3
dU
= 6 x − 3x 2
dx
dU
→
= 0 : x = 0, x = 2
dx
dU
→
> 0 : 6 x − 3 x 2 > 0 → x (6 − 3 x ) > 0
dx
→ x > 0 & x < 2, x < 0 & x > 2
lim U ( x) = −∞, lim U ( x) = +∞
x→+∞
x→−∞
y
f(x)=3*x*x-x*x*x
8
6
4
2
x
-8
-6
-4
-2
2
4
6
8
-2
-4
-6
-8
dU
= −(6 x − 3 x 2 )
dx
F attrattiva per x < 0, 0 < x < 2, repulsiva per x > 2
F =−
x = 0 equilibrio stabile
x = 2 equilibrio instabile
8-3) La velocita’ di un aliscafo in acqua ferma e’ 55 km h-1. Il pilota vuole andare
ad un punto di approdo situato a 80 km di distanza in direzione S 200 E, in
presenza di una forte corrente a 20 km h-1 in direzione S 700 W. Calcolare in quale
direzione deve dirigersi per viaggiare in linea retta, e quanto dura il viaggio in
queste condizioni
v = vel. desiderata
u = vel. corrente
V = vel. aliscafo
v = u +V
v −u =V
2
→ v − u = V 2 = v 2 + u 2 − 2u ⋅ v = v 2 + u 2 − 2uv cos α
π
→ cos α = 0 → V 2 = v 2 + u 2 → v 2 = V 2 − u 2
2
ϕ direzione aliscafo, θ direzione corrente, γ direzione voluta
ux + Vx = vx
v cos γ = V cos ϕ + u cos θ
→ 
→ 
u y + Vy = v y v sin γ = V sin ϕ + u sin θ

v cos γ − u cos θ = V cos ϕ
v sin γ − u sin θ
→ 
→ tan ϕ =
v cos γ − u cos θ
v sin γ − u sin θ = V sin ϕ
α = 900 =
T=
D
D
=
v
V 2 −u2
8-4) Un punto materiale descrive in un SRI un moto di equazione x (t ) = x1 sin ωt .
Il moto viene osservato da un altro SR la cui origine, nel SRI, si muove secondo
la legge xO ' (t ) = x2 sin (ωt + π ) . Trovare l’accelerazione e l’eq. oraria del punto nel
secondo SR.
x (t ) = x1 sin ωt
xO ' (t ) = x2 sin (ωt + π ) = −x2 sin ωt
→ u (t ) = x (t ) − xO ' (t ) = x1 sin ωt + x2 sin ωt = ( x1 + x2 ) sin ωt
d 2u
= −( x1 + x2 ) ω 2 sin ωt
2
dt
8-5) Un blocco di massa m si trova su un piano inclinato di angolo θ, che si
muove con accelerazione costante a lungo l’asse x. Trovare il valore di a che
assicura l’equilibrio del blocco in funzione di θ e µ (coefficiente di attrito)
SRI:
mg sin θ − µmg cos θ = ma
→ sin θ − µ cos θ =
a
g
→ a = g (sin θ − µ cos θ )

µ 
→ a = g sin θ 1−
 tan θ 
8-6) Un corpo di massa m2 e’ appoggiato sopra una lastra di massa m1, che puo’
scivolare senza attrito su un piano orizzontale. Fra corpo e lastra c’e’ un
coefficiente di attrito µd. A t = 0 viene applicata alla lastra la forza costante F,
diretta come in figura. Calcolare dopo quanto tempo il corpo cade dalla lastra, se
la sua distanza iniziale dal bordo e’ d.
SRI :
F − µ gm2 = m1a1 → a1 =
µ gm2 = m2 a2 → a2 =
F − µ gm2
m1
µ gm2
= µg
m2
→ Moti uniformemente accelerati
Origine delle x:
posizione bordo sinistra della lastra a t = 0
Istante di caduta: posizioni uguali
1
1
→ a1t 2 = d + a2 t 2
2
2
1
→ (a1 − a2 ) t 2 = d
2
2d
→t =
a1 − a2
8-7) Un pendolo semplice di lunghezza l = 0.4 m e’ appeso al soffitto di un aereo
che avanza con accelerazione orizzontale a = 5 ms-2. . Calcolare l’angolo di
equilibrio e il periodo delle piccole oscillazioni
SRNI: posizione di equilibrio
Oltre alle forze solite, in questo SR c'e' una forza apparente
Fa = −ma

 ma = T sin θ
→



mg = T cos θ
a
→ tan θ =
g
a '2 = a 2 + g 2
a2 + g2
l
a'
→ω=
=
l
→ T = 2π
l
a2 + g 2