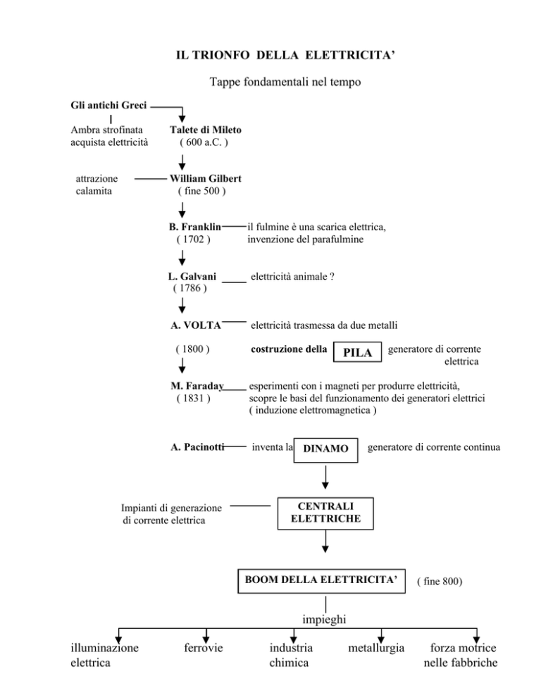
IL TRIONFO DELLA ELETTRICITA’ Tappe fondamentali nel tempo Gli antichi Greci Ambra strofinata acquista elettricità attrazione calamita Talete di Mileto ( 600 a.C. ) William Gilbert ( fine 500 ) B. Franklin ( 1702 ) il fulmine è una scarica elettrica, invenzione del parafulmine L. Galvani ( 1786 ) elettricità animale ? A. VOLTA elettricità trasmessa da due metalli ( 1800 ) costruzione della PILA generatore di corrente elettrica M. Faraday ( 1831 ) esperimenti con i magneti per produrre elettricità, scopre le basi del funzionamento dei generatori elettrici ( induzione elettromagnetica ) A. Pacinotti inventa la DINAMO Impianti di generazione di corrente elettrica generatore di corrente continua CENTRALI ELETTRICHE BOOM DELLA ELETTRICITA’ ( fine 800) impieghi illuminazione elettrica ferrovie industria chimica metallurgia forza motrice nelle fabbriche IL TRIONFO DELLA ELETTRONICA Ulteriori studi su Elettricità Struttura della Materia Nuove Tecnologie dei Materiali Conducono alla ELETTRONICA ( xx secolo ) Scariche elettriche nei gas rarefatti Apparecchi Radio Rice-trasmittenti Era dispositivi elettronici Fenomeno termoelettrico Televisione (1920) Invenzione Radar (2^ guerra mondiale) Scoperta effetto fotoelettrico Costruzione tubo a raggi catodici Supporto per la Invenzione Transistor Costruzione diodo-triodo Tubi elettronici RICERCA SCIENTIFICA (1948) Costruzione Circuiti Integrati ( Con i semiconduttori 1960 ) Micro-processori CHIP Assemblaggio di Componenti Sistemi Circuiti completi La Tecnologia Elettronica,in continua evoluzione , è presente in tutti i settori della nostra società. Verso il 3° Millennio MINIATURIZZAZIONE dei componenti elettronici OGGI cellulare VINCOLI orologi centraline controllo auto ……. computer HI-FI ulteriore miniaturizzazione dei componenti elettronici nanotecnologie nanocircuiti integrati molecole manometro ( unità di misura della elettronica miniaturizzata ) atomi nanomacchine Costi molto elevati FUTURO nanotubi vale 1/1.000.000 del metro in sostituzione del silicio nei circuiti integrati nanolaser -diagnosi malattie -telecomunicazioni a fibre ottiche - …………………