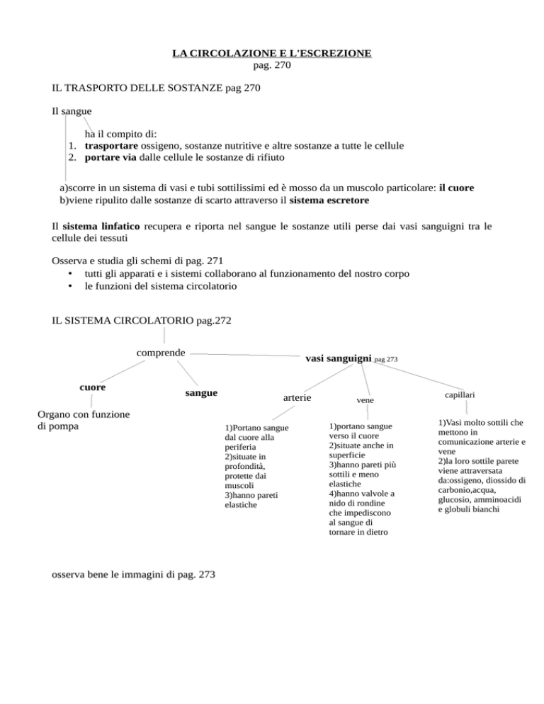
LA CIRCOLAZIONE E L'ESCREZIONE pag. 270 IL TRASPORTO DELLE SOSTANZE pag 270 Il sangue ha il compito di: 1. trasportare ossigeno, sostanze nutritive e altre sostanze a tutte le cellule 2. portare via dalle cellule le sostanze di rifiuto a)scorre in un sistema di vasi e tubi sottilissimi ed è mosso da un muscolo particolare: il cuore b)viene ripulito dalle sostanze di scarto attraverso il sistema escretore Il sistema linfatico recupera e riporta nel sangue le sostanze utili perse dai vasi sanguigni tra le cellule dei tessuti Osserva e studia gli schemi di pag. 271 • tutti gli apparati e i sistemi collaborano al funzionamento del nostro corpo • le funzioni del sistema circolatorio IL SISTEMA CIRCOLATORIO pag.272 comprende cuore sangue Organo con funzione di pompa osserva bene le immagini di pag. 273 vasi sanguigni pag 273 arterie 1)Portano sangue dal cuore alla periferia 2)situate in profondità, protette dai muscoli 3)hanno pareti elastiche vene 1)portano sangue verso il cuore 2)situate anche in superficie 3)hanno pareti più sottili e meno elastiche 4)hanno valvole a nido di rondine che impediscono al sangue di tornare in dietro capillari 1)Vasi molto sottili che mettono in comunicazione arterie e vene 2)la loro sottile parete viene attraversata da:ossigeno, diossido di carbonio,acqua, glucosio, amminoacidi e globuli bianchi IL CUORE pag 274 CUORE È un muscolo involontario cavo (miocardio) È posto nella cavità toracica tra i due polmoni Ciclo cardiaco È diviso in due parti, destra e sinistra, da un setto muscolare Successione continua di sistole ( contrazione ) e diastole ( rilassamento) Le due parti non comunicano tra loro Ogni parte è formata da un atrio e un ventricolo che invece comunicano tra loro mediante valvole: tricuspide a dx e bicuspide a sx Il sangue scorre in un unica direzione, dall'atrio al ventricolo Gli atri ricevono il sangue, i ventricoli lo spingono fuori dal cuore IL SANGUE pag 275 Tessuto liquido Plasma: acqua 95% Sali Proteine Sostanze nutritive Costituisce il 55% del volume del sangue Globuli rossi: 1)Cellule senza nucleo (7µ) 2)Contengono emoglobina 3)Prodotte dal midollo osseo 4)vivono 120 giorni 5)5 ml/mm3 FUNZIONI DEL SANGUE 1)Trasporta sostanze nutritive, ossigeno, CO2, ormoni, enzimi, vitamine e sostanze di rifiuto 2)Regola la temperatura del corpo 3)Grazie alle piastrine che trasporta interviene nella coagulazione del sangue (la fibrina liberata dalle piastrine forma un reticolo che imprigiona i globuli rossi e insieme formano un coagulo/crosta) Globuli bianchi: 1)cellule con nucleo, più grandi dei globuli rossi(717µ) 2)difesa dell'organismo da infezioni 3)possono attraversare la parete dei capillari 4)prodotte da midollo osseo e milza 5) vivono da 6 ore a mesi o anni a seconda del tipo di globulo bianco 6)5000-7000/mm3 Piastrine: 1)frammenti di cellule prive di nucleo (1,5-3,5 µ) 2)molto più piccole dei globuli rossi 3)essenziali per la coagulazione 4)prodotte dal midollo osseo 5)vivono 8-12 giorni 6)300.000/mm3 LA CIRCOLAZIONE DEL SANGUE pag 277 Piccola circolazione: cuore- polmonicuore Il sangue, ricco di CO2, proveniente dai tessuti del corpo con la vena cava superiore e inferiore segue questo percorso: atrio destro ventricolo destro arteria polmonare polmoni vene polmonari atrio sinistro Grande circolazione: cuore-tessuti del corpocuore Il sangue, ricco di O2 , proveniente dai polmoni con le vene polmonari segue questo percorso: Atrio sinistro Ventricolo sinistro Aorta, da cui si dipartono: 1) coronarie che irrorano il cuore 2)carotidi che vanno al cervello 3)altre arterie che irrorano le cellule di tutto il corpo Circolazione nell'uomo è doppia, il sangue passa due volte dal cuore, e completa, il sangue arterioso non si mescola mai con quello venoso Osserva lo schema di pag 277 Nel cuore circolano circa 5/6 litri di sangue al minuto (= quantità di sangue in un uomo adulto) 1 minuto è il tempo che il sangue impiega per fare un giro completo del corpo